JavaScript 数据结构 —— 树

发表于 2025/1/18 GMT+8 17:28:57

最后更新于 2025/8/24 GMT+8 23:12:59

树是一种分层数据结构的抽象模型。常见的例子是家谱,或公司的组织架构图。

树形结构的例子

树相关的术语

  • 根节点
  • 子树
  • 树的高度
  • 树的深度

二叉搜索树

二叉树:节点只能有两个子节点。一个时左侧子节点,另一个时右侧子节点。

二叉搜索树(BST): 二叉树的一种,左节点小于父节点,右侧节点大于父节点。

BST各节点之间的排列形式总是如下

小 大

二叉树搜索树数据结构的组织方式

二叉树搜索树数据结构的组织方式

二叉搜索树的方法

  • insert(key) 在树中插入一个新的键
  • search(key) 在查找节点
  • preOrderTraverse() 先序遍历所有节点
  • inOrderTraverse() 中序遍历所有节点
  • postOrderTraverse() 后序遍历所有节点
  • min() 返回树中最小的值/键
  • max() 返回树中最大的值/键
  • remove(key) 返回树中最小的值/键

树的遍历

  • 先序遍历: 根左右
  • 中序遍历: 根左右
  • 后序遍历: 根左右

最小值:树的最后一层最左侧的节点

最大值:树的最后一层最右侧的节点

因此寻找最小值,总是沿着树的左边寻找;寻找最大值,总是沿着树的右边寻找

删除节点

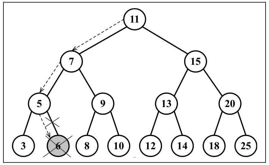
移除叶子节点

移除 6 即可

移除叶子节点

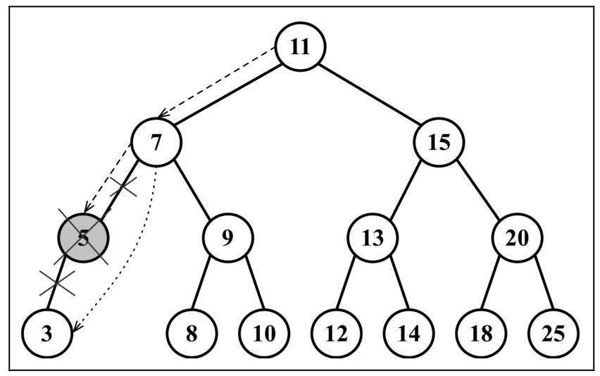
移除只有左侧子节点或只有右侧子节点的节点

移除 5 ,把 7 的子节点修改为 3

移除只有左侧子节点或只有右侧子节点的节点

移除存在两个子节点的节点

移除 15,找到 15 节点的右子树最小的节点(即右子树左下角的节点) 18 填充 15 的位置,并删除原有的 18

移除存在两个子节点的节点

代码实现

二叉搜索树

自平衡树

自平衡树 AVL 在添加或移除节点时,会尝试保持自平衡,使任何一个节点左右两侧子树的高度之差为 1 。

平衡操作 —— AVL 旋转

左-左 (LL) 向左的单旋转 右-右 (RR) 向右的单旋转 左-右 (LR) 向右的双旋转(先LL旋转,再RR旋转) 右-左 (RL) 向左的双旋转(先RR旋转,再LL旋转)

红黑树